تاثیر نانو ذرات و رابطه فشار پذیری و اصطکاک
در این مقاله از پترونام سهند، به تاثیر نانو ذرات و رابطه فشار پذیری و اصطکاک می پردازیم. با ما همراه باشید.
افزايش بازده موتور و کاهش هزينه ی تعميرات
استفاده از روانکارهاي حاوي نانو ذرات مختلف به دليل بهبود خواص سطحي و قابليت انتقال حرارت، افزايش بازده موتور و کاهش هزينه ی تعميرات بسيار جذاب و مورد توجه اند.
پژوهشگران زيادي گزارش کرده اند که نانو روانکارها در کاهش اصطکاک و سايش و نيز افزايش قابليت انتقال حرارت مؤثرند.
در اين مطالعه خواص روانکاري از طريق اندازه گيري دماي سطح اصطکاک و ضريب اصطکاک ارزيابي شدند. نتايج نشان داد که نانو روغن هاي با غلظت حجمي بزرگتر نانو ذرات، ضريب اصطکاک کوچکتر و سايش کمتري را در ديسک ثابت نتيجه مي دهد، که اين نشانة بهبود خواص روانکاري روغن معدني بر اثر افزودن نانو ذرات است.
محققین، رفتارهاي روانکاري نانو ذرات فولرن افزوده شده به روغن معدني را بررسي کردند، خواص فشار نهايي و ضد سايشي آنها با استفاده از آزمون چهار ساچمه و نيز دستگاه آزمون ديسک روي ديسک تحت بارهاي عمودي مختلف، ارزيابي شد و نتايج آنها بيانگر بهبود خواص روانکاري نانو روغن ها نسبت به روغن هاي فاقد نانو ذرات بود.
علت خرابي قطعات موتور خودرو
يکي از مشکلات عمده و علل خرابي قطعات در موتورهاي درون سوز سايش قطعات در اثر اصطکاک و تماس با يکديگر مي باشد، که براي جلوگيري و کاهش آن قطعات موتور به طور پيوسته توسط روغن هاي موتور، روانکاري مي گردند. يکي از راههاي مؤثر براي کاهش ميزان سايش وکم کردن اندازه قطر خراش هاي ايجاد شده بر روي قطعات در حال روانکاري، استفاده از روغن هاي با گرانروي بالاتر مي باشد.
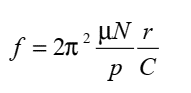
هنگامي که از روغن با گرانروي بالاتر استفاده مي شود لاية روغن ايجاد شده بين قطعات در تماس با يکديگر مانع از تماس مستقيم و ايجاد سايش بر روي آنها مي شود. اما در مقابل بايد توجه داشت که افزايش گرانروي و به تبع آن افزايش ضخامت لاية روانکار در بين قطعات، موجب افزايش توان اتلافي در موتور ميگردد.به طور مثال معادله ي پتروف بيانگر آن است که توان اتلافي در يک ياتاقان به طور مستقيم با گرانروي روانکار متناسب است.
در اين معادله μگرانروي مطلق روانکار برحسب پاسکال- ثانيه، rشعاع محور و Cلقي شعاعي بر حسب اينچ، N سرعت دوراني محور برحسب دور در ثانيه و p فشار وارد بر سطح تصوير شده ياتاقان است.
دانشمندان، براي رفع مشکل و تضاد پيش آمده در انتخاب روانکار مناسب پيشنهاد کردند که از نانو ذرات به عنوان افزودني به روغن روانکار براي بهبود خواص فشار پذيري و ضد سايشي آنها، بدون نياز به افزايش گرانروي روغن استفاده گردد. آنها براي بررسي ميزان تأثير نانو ذرات در کاهش اصطکاک و سايش، نانو ذرات فولرن را به روغن روانکار معدني در گرانروي هاي مختلف اضافه کردند و با استفاده از دستگاه آزمون چهار ساچمه خواص فشار پذيري و ضد سايشي آنها را بررسي نمودند. نتايج آنها نشان داد که خواص ضد سايشي روغن روانکار بدون نياز به افزايش گرانروي و تنها با افزودن نانو ذرات فولرن به طور چشمگيري بهبود يافت.
طبق نظر مهندسین شیمی، بهبود خواص فشار پذيري و ضد سايشي نانو روانکارها ناشي از سه اثر نانو ذرات مي باشد که عبارتند از: -1ذرات نانو همانند بلبرينگ بين دو سطح اصطکاکي عمل کرده و تماس بين دو سطح را کاهش مي دهد. -2ذرات نانو با پوشاندن سطوح زبر، يک لايه محافظ بين دو سطح ايجاد مي کنند. -3ذرات نانو افزوده شده به روغن اثر مرمتي دارند، به گونه ای که با نشستن بر روي سطوح اصطکاکي و پر کردن محل خراشيدگي ها جرم از دست رفته را جبران مي کنند و زبري سطح کاهش مي يابد.
تاثیر نانو ذرات و رابطه فشار پذیری و اصطکاک
در نهايت مي توان نتيجه گرفت که در صورت استفاده از نانو ذرات، درون روغن هاي روانکار، امکان کاهش ميزان اصطکاک و سايش در بين قطعات موتور بدون افزايش گرانروي روغن پايه فراهم مي گردد، که اين مورد را نيز مي توان به عنوان بهبود خواص روانکاري روغن پايه در نظر گرفت.


